A light emitting diode consists of a p-n diode, which is designed so that radiative recombination dominates. Homojunction p-n diodes, heterojunction p-i-n diodes where the intrinsic layer has a smaller bandgap (this structure is also referred to as a double-hetero-structure) and p-n diodes with a quantum well in the middle are all used for LEDs. We will only consider the p-n diode with a quantum well because the analytical analysis is more straightforward and also since this structure is used often in LEDs and even more frequently in laser diodes. |
4.9.1. Rate equations | ![]() ![]() ![]() ![]() |
The LED rate equations are derived from the continuity equations as applied to the p-n diode: |
![]() | (4.9.1) |
where G is the generation rate per unit volume and R is the recombination rate per unit volume. This equation is now simplified by integrating in the direction perpendicular to the plane of the junction. We separate the integral in two parts: one for the quantum well, one for the rest of the structure. |
![]() | (4.9.2) |
where k refers to the quantum number in the well. If we ignore the carriers everywhere except in the quantum well and assume that only the first quantum level is populated with electrons/holes and that the density of electrons equals the density of holes, we obtain: |
![]() | (4.9.3) |
where the last term is added to include reabsorption of photons. The rate equation for the photon density including loss of photons due to emission (as described with the photon lifetime tph) and absorption (as described with the photon absorption time tab) equals: |
![]() | (4.9.4) |
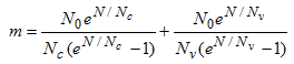
The corresponding voltage across the diode equals: |
![]() | (4.9.5) |
Where the modified effective hole density of states in the quantum well, Nv,qw*, accounts for the occupation of multiple hole levels as described in section 4.3.8.6. The optical output power is given by the number of photons, which leave the semiconductor per unit time, multiplied with the photon energy: |
![]() | (4.9.6) |
where A is the active area of the device, R is the reflectivity at the surface and Qc is the critical angle for total internal reflection |
![]() | (4.9.7) |
The reflectivity and critical angle for a GaAs Air interface are 30 % and 16o respectively. |
4.9.2. DC solution to the rate equations | ![]() ![]() ![]() ![]() |
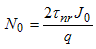
The time independent solution (indicated with the subscript 0) in the absence of reabsorption is obtained from: |
![]() | (4.9.8) |
![]() | (4.9.9) |
where B is the bimolecular recombination constant. Solving these equations yields: |
![]() | (4.9.10) |
For small currents this reduces to: (J << q/16tnr2B) |
![]() | (4.9.11) |
which indicates that SHR recombination dominates, whereas for large currents one finds: (J >> q/16tnr2B) |
![]() | (4.9.12) |
The dc optical output power is: |
![]() | (4.9.13) |
This expression explains the poor efficiency of an LED. Even if no non-radiative recombination occurs in the active region of the LED, most photons are confined to the semiconductor because of the small critical angle. Typically, only a few percent of the photons generated escape the semiconductor. This problem is most severe for planar surface emitting LEDs. Better efficiencies have been obtained for edge emitting, "super luminescent" LEDs (where stimulated emission provides a larger fraction of photons which can escape the semiconductor) and LEDs with curved surfaces. |
4.9.3. AC solution to the rate equations | ![]() ![]() ![]() ![]() |
We now assume that all variables can be written as a sum of a time independent term and a time dependent term (note that n(t) is still a density per unit area): |
![]() | (4.9.14) |
![]() | (4.9.15) |
![]() | (4.9.16) |
The rate equations for the time-dependent terms is then given by: |
![]() | (4.9.17) |
![]() | (4.9.18) |
Next, we assuming the ac current of the form j1 = j1,0ejwt and ignore the higher order terms. This results in a harmonic solution of the form: |
![]() | (4.9.19) |
with: |
![]() | (4.9.20) |
where teff depends on N0 as: |
![]() | (4.9.21) |
and the ac responsivity is: |
![]() | (4.9.22) |
At w = 0 this also yields the differential quantum efficiency (D.Q.E) |
![]() | (4.9.23) |
4.9.4. Equivalent circuit of an LED | ![]() ![]() ![]() ![]() |
The equivalent circuit of an LED consists of the p-n diode current source parallel to the diode capacitance and in series with a linear series resistance, R. The capacitance, C, is obtained from: |
![]() | (4.9.24) |
![]() | (4.9.25) |
or |
![]() | (4.9.26) |
with |
![]() | (4.9.27) |
for N0 << Nc and/or Nv, m = 2 while for N0 >> Nc and/or Nv, |